101年基測數學詳解 - 完整對照表與難題趨勢分析

101年基測-數學詳解(分數對照在最下方)

選擇題 (1 ~ 34 題)

1.

101年會考數學第1題
答案

\((C)\)

詳解

全班有 40 人,中位數在第 20、21 人
\(160\) 公分是男生的 \(Q1\),女生的 \(Q2\)
\(\Rightarrow 160\) 公分以下有男生 5 人 + 女生 10 人 \(=15\)
\(165\) 公分是男生的 \(Q2\),女生的 \(Q3\)
\(\Rightarrow 165\) 公分以下有男生 10 人 + 女生 15 人 \(=25\)
第 20、21 人在 160~165 之間。

2.

101年會考數學第2題
答案

\((B)\)

詳解

\(300-50-90-120=40\)
\(40\div 13\) 的倍數,餘數可為 \(1, 14, 27\)
只有 \((B) 14\) 符合

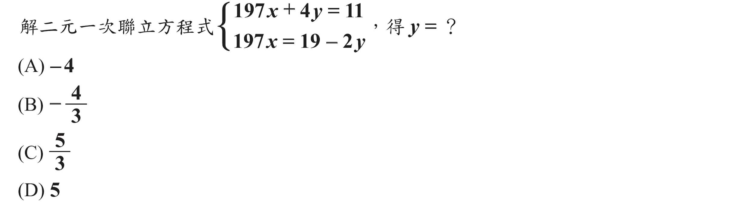
3.

101年會考數學第3題
答案

\((A)\)

詳解

第二式整理得:\(197x+2y=19\)
兩式相減:\(2y=-8\Rightarrow y=-4\)

4.

101年會考數學第4題
答案

\((A)\)

詳解

三數皆為正數,可用平方比大小。
\((5+\sqrt{15})^2=20+10\sqrt{15}\)
\((3+\sqrt{17})^2=20+6\sqrt{17}\)
\((1+\sqrt{19}^2=20+2\sqrt{19})\)
\(\Rightarrow\) 丙 < 乙 < 甲

5.

101年會考數學第5題
答案

\((A)\)

詳解

\(2x\) 為買兩件的定價
\(2x-100\) 為買兩件減 \(100\)
\(0.3(2x-100)\) 為買兩件減 \(100\) 元再打 3 折
\(0.3(2x-100) < 1000\) 為買兩件減 \(100\) 元再打 3 折,不到 1000 元

6.

101年會考數學第6題
答案

\((B)\)

詳解

101年會考數學第6題詳解 用短除法算最小公倍數,只要任兩數還有公因數就要繼續做下去
如圖: 最小公倍數 \(=2\times 2\times 3\times 2\times 3=72\)

7.

101年會考數學第7題
答案

\((C)\)

詳解

\(4070\)\(=4070\times 10^8=4.07\times 10^{11}\)

8.

101年會考數學第8題
答案

\((C)\)

詳解

六人份需砂糖 \(20\times 6=120\)
還差 \(120-50=70\)
\(70 \div 20 \times 6=21\)

9.

101年會考數學第9題
答案

\((D)\)

詳解

\(\triangle FBC\)\(\triangle EBC\) 皆以 \(\overline{BC}\) 為底
\(\triangle FBC > \triangle EBC\)
\(\Rightarrow F\)\(\overline{BC}\) 的距離要大於 \(E\)\(\overline{BC}\) 的距離
所以 \(F\) 在平行線\(\overline{AD}\) 以外 故選 \((D)\)

10.

101年會考數學第10題
答案

\((B)\)

詳解

能夠找到對稱軸的圖形

11.

101年會考數學第11題
答案

\((D)\)

詳解

\(\angle DAE=\frac12\overset{\LARGE{\frown}}{AD}=12^\circ\)
\(\Rightarrow \overset{\LARGE{\frown}}{AD}=24^\circ\)
\(\overset{\LARGE{\frown}}{AB}=\overset{\LARGE{\frown}}{BC}=\overset{\LARGE{\frown}}{CD}=x^\circ\)
\(3x+24=360\Rightarrow x=112\)
\(\angle ABC=\frac12 \overset{\LARGE{\frown}}{AC}=\frac12(24^\circ+112^\circ)=68^\circ\)

12.

101年會考數學第12題
答案

\((B)\)

詳解

共有 \(3+3+5+4=15\) 張牌
\(\frac{3+3}{15}=\frac25\)

13.

101年會考數學第13題
答案

\((D)\)

詳解

\(\Rightarrow (-1000-\frac15)\times (-5)=5000+1=5001\)

14.

101年會考數學第14題
答案

\((A)\)

詳解

\(8x^2-10x+2=2(4x-1)(x-1)=(4x-1)(2x-2)\)

15.

101年會考數學第15題
答案

\((C)\)

詳解

101年會考數學第15題詳解 \(\overline{OA}=\overline{AB}=2\)
\(A\) 為圓心,\(\overline{OA}\) 為半徑畫圓,如圖,交大圓於兩點。

16.

101年會考數學第16題
答案

\((B)\)

詳解

101年會考數學第16題詳解 延長 \(\overline{AM}\)\(\overline{BC}\)\(D\)
\(\overline{AD}\) 為中線亦為高 (等腰三角形)
\(\overline{CD}=8\)
\(\Rightarrow \overline{AD}=\sqrt{17^2-8^2}=15\)
\(\overline{AM}=\frac23\overline{AD}=\frac23\times 15=10\)

17.

101年會考數學第17題
答案

\((B)\)

詳解

依敍述列式: \(y=(3x+6)\div 3-x\)
\(\Rightarrow y=x+2-x\)
\(\Rightarrow y=2\)

18.

101年會考數學第18題
答案

\((D)\)

詳解

二次函數有最低點,表示開口向上,\(x^2\) 係數大於 \(0\)
原式 \(=(a-5)x^2+(b-3)x+c+7\) \(\Rightarrow a > 5\)
只有 \((D)\) 符合。

19.

101年會考數學第19題
答案

\((A)\)

詳解

注意:題目要選錯的
\(|a-c|=\overline{AC}\)
(A) \(|a|+|b|+|c|=\overline{AO}+\overline{BO}+\overline{OC}\neq\overline{AC}\)
(B) \(|a-b|+|c-b|=\overline{AB}+\overline{BC}=\overline{AC}\)
(C) \(|a-d|-|d-c|=\overline{AD}-\overline{CD}=\overline{AC}\)
(D) \(|a|+|d|-|c-d|=\overline{AO}+\overline{OD}-\overline{CD}=\overline{AC}\)

20.

101年會考數學第20題
答案

\((C)\)

詳解

\((6+40+42+2) \div 200\times 100\%=45\%\)
\(a\%+b\%=100\%-45\%=55\%\)
\(\Rightarrow a+b=55\)

21.

101年會考數學第21題
答案

\((D)\)

詳解

101年會考數學第21題詳解 \(\overline{GH}=\overline{CD}=1\)
正六邊形內角為 \(\frac16\times (6-2)\times 180^\circ=120^\circ\)
\(\angle CBG=\frac12\times 120^\circ=60^\circ\)
\(\overline{CG}=\frac{\sqrt3}{2}\overline{BC}=\frac{\sqrt3}{2}=\overline{DH}\)
\(1+1+\frac{\sqrt3}{2}\times 2=2+\sqrt3\)

22.

101年會考數學第22題
答案

\((A)\)

詳解

大小圓柱高的比 \(=2:1\)
大高 \(=15\times \frac23=10\)
底半徑 \(\sqrt9=3\)
側面積為長方形,長為底周長 \(=2\pi\times 3=6\pi\)
側面積 \(=6\pi\times 10=60\pi\)

23.

101年會考數學第23題
答案

\((C)\)

詳解

\(\Rightarrow \frac{2^6}{3^6}\times \frac{3^4}{2^4}\)
\(=\frac{2^2}{3^2}\)
\(=(\frac23)^2\)

24.

101年會考數學第24題
答案

\((A)\)

詳解

紅豆湯圓一杯 \(\frac{x}{30}\)
豆花一杯 \(\frac{x}{40}\)
\(\frac{x}{40}=\frac{x}{30}-10\)
\(\Rightarrow \frac{x}{30}=\frac{x}{40}+10\)

25.

101年會考數學第25題
答案

\((A)\)

詳解

\(L\)\(x\)\(y\) 軸分別交於 \((-1,0),(0,3)\)
\(\Rightarrow 0 < a < 3\)
故選 \((A)\)

26.

101年會考數學第26題
答案

\((D)\)

詳解

\(= \sqrt{(114+64)(114-64)-50^2}\)
\(= \sqrt{178\times 50-50^2}\)
\(= \sqrt{50(178-50)}\)
\(= \sqrt{50\times 128}\)
\(=80\)

27.

101年會考數學第27題
答案

\((C)\)

詳解

圖十五中,\(\overline{AC}=10-2=8\)
圖十六中,\(\overline {AC}=\overline{CD}=2\)
\(\overline{AB}+\overline{BC}=8\)
\(|\overline{BC}-\overline{AB}|<2\) (三角形兩邊差小於第三邊)
(A) \(\overline{AB}=2\Rightarrow \overline{BC}=6\Rightarrow |\overline{BC}-\overline{AB}|=4\nless2\)
(B) \(\overline{AB}=3\Rightarrow \overline{BC}=5\Rightarrow |\overline{BC}-\overline{AB}|=2\nless2\)
(C) \(\overline{AB}=4\Rightarrow \overline{BC}=4\Rightarrow |\overline{BC}-\overline{AB}|=0 < 2\)
(D) \(\overline{AB}=5\Rightarrow \overline{BC}=3\Rightarrow |\overline{BC}-\overline{AB}|=2\nless2\)

28.

101年會考數學第28題
答案

\((B)\)

詳解

第 1 圈 1~20: 紅綠白紅綠白...綠
第 2 圈 1~20: 白紅綠白紅綠...紅
第 3 圈 1~20: 綠白紅綠白紅...白
第 4 圈 1~20: 紅綠白紅綠白...綠 (跟第 1 圈一樣)
每三圈循環,\(100\div 3=33...1\)
第 100 圈 = 第 1 圈
所以 4 號箱中有 33 組紅綠白球再加 1 顆紅球
共有 34 顆紅球

29.

101年會考數學第29題
答案

\((C)\)

詳解

101年會考數學第29題詳解\(\overline{EF}//\overline{AD}\)\(\overline{AB}\)\(F\)
\(\overline{AF}:\overline{BF}=\overline{DE}:\overline{EC}=1:4\)
\(\Rightarrow \overline{AF}=\frac15\overline{AB}=1\)
四邊形\(ABCE\) 面積 = 梯形\(ABCD\) - \(\triangle ADE\)
\(=\frac12(4+8)\times 5-\frac12\times 8\times 1\)
\(=30-4\)
\(=26\)

30.

101年會考數學第30題
答案

\((C)\)

詳解

\(x\) 軸於 \(-5+2=-3\)\(-5-2=-7\) 兩點
此二次函數為 \(y=(x+3)(x+7)=x^2+10x+21\)
\(x=-6\) 代入:\(y=(-6+3)(-6+7)=-3\)
故選 \((C)\)

31.

101年會考數學第31題
答案

\((D)\)

詳解

\(x^2-2x-3599=0\)
\(\Rightarrow (x-1)^2=3600\)
\(\Rightarrow x-1=\pm 60\)
\(\Rightarrow x=61\) or \(-59\)
\(a=61, b=-59\)
\(2a-b=122+59=181\)

32.

101年會考數學第32題
答案

\((B)\)

詳解

101年會考數學第32題詳解 \(\angle1+\angle2=\angle1+\angle3=90^\circ \Rightarrow \angle2=\angle3\)
\(\angle B=\angle C=90^\circ\)
\(\Rightarrow \triangle BEF \sim \triangle CFD\) \((AA)\)
\(\overline{BF}:\overline{CD}=\overline{BE}:\overline{CF}\)
\(\Rightarrow 3:12=\overline{BE}:9\)
\(\Rightarrow \overline{BE}=\frac94\)
\(\overline{EF}=\sqrt{(\frac94)^2+3^2}=\frac{15}{4}\)

33.

101年會考數學第33題
答案

\((D)\)

詳解

101年會考數學第33題詳解 (甲) 如圖,\(\overline{DE}//\overline{AC}\)
\(\Rightarrow \overline{BE}:\overline{EC}=\overline{BD}:\overline{DA}=1:1\)
\(\overset{\LARGE{\frown}}{BP}=\overset{\LARGE{\frown}}{CP}\Rightarrow \overline{BP}=\overline{PC}\) (等弦對等弧)
\(\triangle BPC\) 為等腰三角形,則 \(\overline{PE}\perp \overline{BC}\)
\(\because\angle BED < 90^\circ\)
\(\therefore \overline{PE}\not\perp \overline{BC}\Rightarrow\) 甲錯誤

(乙) \(E\) 為斜邊中點,也就是圓心。
\(\overline{PE}\perp\overline{BC}\) (同位角相等)
\(\overline{BE}=\overline{CE}=r\)
\(\triangle BCE\) 為等腰三角形
\(\overline{PE}\) 為中垂線亦為角平分線
\(\Rightarrow \angle1=\angle2\)
\(\Rightarrow \overset{\LARGE{\frown}}{BP}=\overset{\LARGE{\frown}}{CP}\Rightarrow\) 乙正確

34.

101年會考數學第34題
答案

\((D)\)

詳解

圖一中:
\(\overline{BE}=2\overline{AE}\Rightarrow\angle{ABE}=30^\circ, \angle AEB=60^\circ\)
圖二中:
\(\angle BED=60^\circ-15^\circ=45^\circ\)
\(\angle{CED}=\frac12(180^\circ-60^\circ-45^\circ)=37.5^\circ\)
\(\angle BEC=45^\circ+37.5^\circ=82.5^\circ\)
\(\angle CBE=90^\circ-30^\circ=60^\circ\)
\(\angle BCE=180^\circ-\angle CBE-\angle BEC=180^\circ-60^\circ-82.5^\circ=37.5^\circ\)

年度解析+等級對照表