103年會考數學詳解 - 完整對照表與難題趨勢分析

103年會考-數學詳解(分數對照在最下方)

第一部分:選擇題(1~27題)

1.

103年會考數學第1題
通過率 0.64
答案

\((D)\)

詳解

\(\Rightarrow (\sqrt6+5\sqrt6)\times \sqrt3\)
\(=(6\sqrt6)\times \sqrt3\)
\(=18\sqrt2\)

2.

103年會考數學第2題
通過率 0.74
答案

\((C)\)

詳解

質因數的次數不可高於原式。

3.

103年會考數學第3題
通過率 0.68
答案

\((C)\)

詳解

\(\overline{AE}=\sqrt{10^2-8^2}=6\)
\(\overline{AD}//\overline{BC}\Rightarrow \angle E=\angle DAE=90^\circ\)
\(\overline{AD}=\sqrt{(6\sqrt3)^2-6^2}=\sqrt{72}=6\sqrt2\)

4.

103年會考數學第4題
通過率 0.67
答案

\((A)\)

詳解

取出的二位數可能為:
\(45,\ 54,\ 46,\ 64,\ 56,\ 65\) 六種
其中 6 的倍數有 \(54\) 一種
所以機率為 \(\frac16\)

5.

103年會考數學第5題
通過率 0.73
答案

\((A)\)

詳解

\(\Rightarrow 743\times (370-1)-741\times 370\)
\(=743\times 370-743-741\times 370\)
\(=370\times (743-741)-743\)
\(=370\times 2-743\)
\(=740-743\)
\(=-3\)

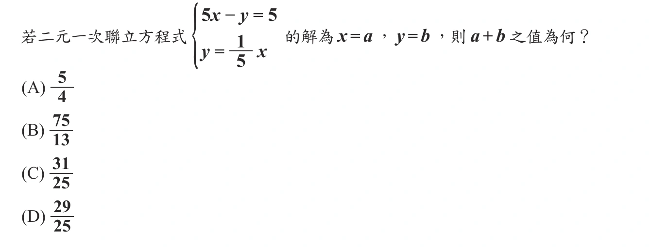
6.

103年會考數學第6題
通過率 0.63
答案

\((A)\)

詳解

第二式代入第一式:
\(5x-\frac15x=5\)
\(\Rightarrow \frac{24}{5}x=5\)
\(\Rightarrow x=\frac{25}{24}\)
\(y=\frac15x=\frac15\times \frac{25}{24}=\frac{5}{24}\)
\(a+b=x+y=\frac{25}{24}+\frac{5}{24}=\frac{30}{24}=\frac{5}{4}\)

7.

103年會考數學第7題
通過率 0.63
答案

\((C)\)

詳解

10 元可買 0.5 公斤
250 元可買 \(250\div 10\times 0.5=12.5\) 公斤
\(15-12.5=2.5\)

8.

103年會考數學第8題
通過率 0.57
答案

\((A)\)

詳解
103年會考數學第8題詳解

9.

103年會考數學第9題
通過率 0.63
答案

\((C)\)

詳解

\(F\)\(y\) 軸 (\(\overline{DE}\)) 的距離 \(=\) \(A\)\(\overline{BC}\) 的距離
\(\Rightarrow 1-(-3)=4\)

10.

103年會考數學第10題
通過率 0.57
答案

\((B)\)

詳解

\(\angle A=180^\circ-\angle B-\angle C=180^\circ-74^\circ-46^\circ=60^\circ\)
\(\Rightarrow \overset{\Large\frown}{BC}=120^\circ\)
中垂線平分 \(\overset{\Large\frown}{BC}\),且中垂線段過圓心為直徑。
\(\Rightarrow \overset{\Large\frown}{AD}+\overset{\Large\frown}{AB}+\frac12\overset{\Large\frown}{BC}=180^\circ\)
\(\Rightarrow \overset{\Large\frown}{AD}+46^\circ\times 2+\frac12\times 120^\circ=180^\circ\)
\(\Rightarrow \overset{\Large\frown}{AD}=28^\circ\)

11.

103年會考數學第11題
通過率 0.55
答案

\((B)\)

詳解

\(2\sqrt{39}=\sqrt{156}<12.5\)
\(-1.5<11-2\sqrt{39}<-1\)
所以 \(B\) 點最接近

12.

103年會考數學第12題
通過率 0.53
答案

\((B)\)

詳解

\(\triangle ACG\) 面積 \(=8\times (6+9)\times \frac12=60\)
\(\triangle ADC : \triangle ADG=\overline {CD}:\overline{DG}=\overline{CF}:\overline{BF}=6:9=2:3\)
\(\Rightarrow \triangle ADC=\frac{2}{2+3}\triangle ACG=\frac25\times 60=24\)

13.

103年會考數學第13題
通過率 0.60
答案

\((A)\)

詳解
103年會考數學第13題詳解

14.

103年會考數學第14題
通過率 0.49
答案

\((B)\)

詳解

\(1.36\times 10^{18}\times 0.3\%\)
\(=1.36\times 10^{18}\times 3\times 10^{-3}\)
\(=4.08\times 10^{15}\)

15.

103年會考數學第15題
通過率 0.40
答案

\((D)\)

詳解
103年會考數學第15題詳解

16.

103年會考數學第16題
通過率 0.55
答案

\((B)\)

詳解

\(\overline{OC}=\overline{OA}-\overline{AC}=2+1-\overline{AC}=3-\overline{AC}\)
\(\overline{OE}=\overline{OG}+\overline{EG}=1+\overline{EG}=1+\overline{AC}\)
\(\overset{\Large\frown}{CD}+\overset{\Large\frown}{EF}=2\pi\times (3-\overline{AC})\times \frac{60^\circ}{360^\circ}+2\pi\times (1+\overline{AC})\times \frac{60^\circ}{360^\circ}\)
\(=2\pi\times \frac16(3-\overline{AC}+1-\overline{AC})\)
\(=\frac13\pi\times 4\)
\(=\frac43\pi\)

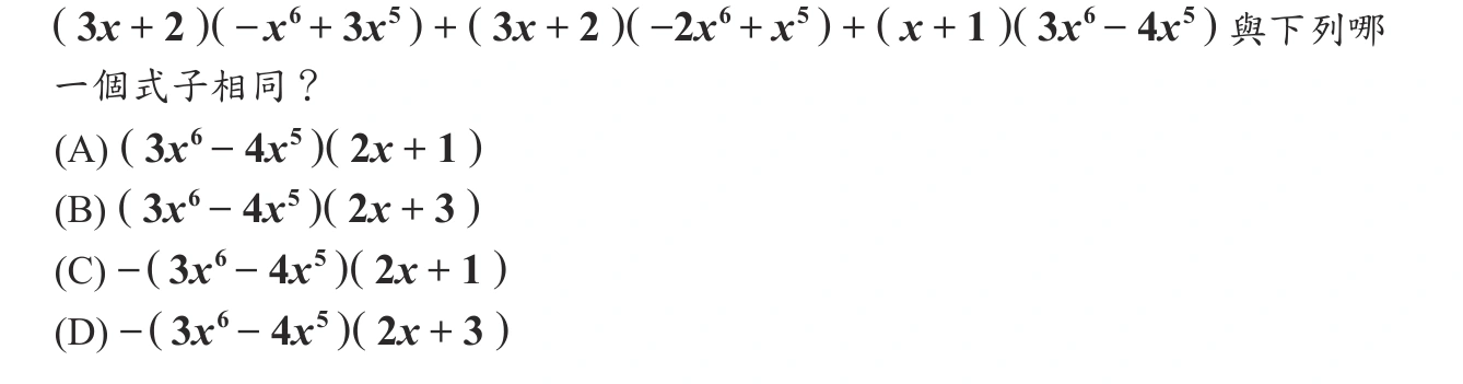
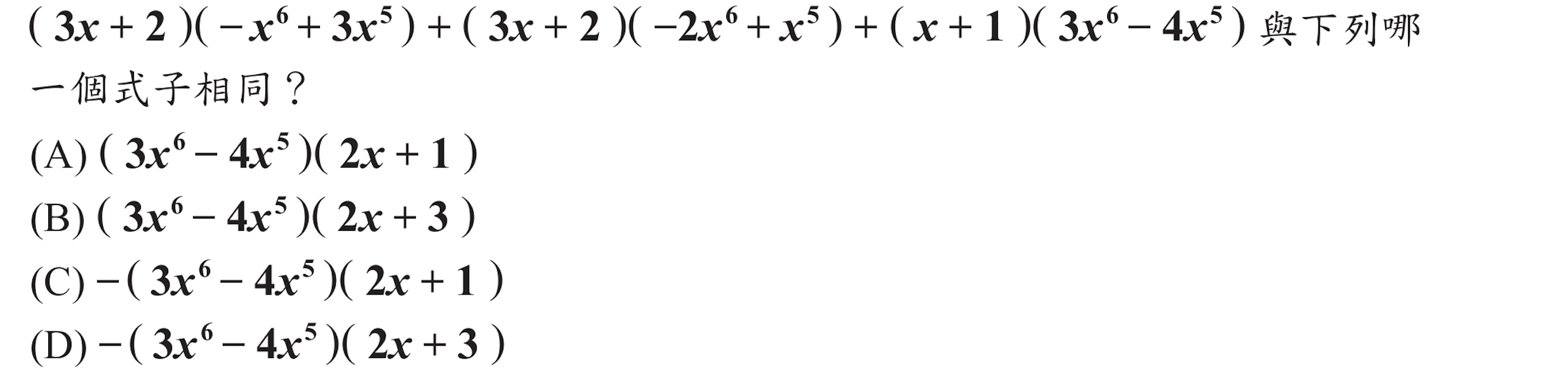
17.

103年會考數學第17題
通過率 0.55
答案

\((C)\)

詳解

\(\Rightarrow (3x+2)(-x^6+3x^5-2x^6+x^5)+(x+1)(3x^6-4x^5)\)
\(=(3x+2)(-3x^6+4x^5)+(x+1)(3x^6-4x^5)\)
\(=-(3x+2)(3x^6-4x^5)+(x+1)(3x^6-4x^5)\)
\(=(3x^6-4x^5)(-3x-2+x+1)\)
\(=(3x^6-4x^5)(-2x-1)\)
\(=-(3x^6-4x^5)(2x+1)\)

18.

103年會考數學第18題
通過率 0.39
答案

\((C)\)

詳解

\(\overline{PB}=\overline{PC}\) (中垂線性質)
\(\Rightarrow \angle PBC=\angle PCB\)
\(\angle PBA=\angle PBC\) (角平分線)
\(\angle PBA=\angle PBC=\angle PCB=x^\circ\)
\(\angle A+\angle ABC+\angle ACB=180^\circ\)
\(\Rightarrow 60^\circ+2x^\circ+x^\circ+24^\circ=180^\circ\)
\(\Rightarrow 3x^\circ=96^\circ\)
\(\Rightarrow x=32\)

19.

103年會考數學第19題
通過率 0.39
答案

\((C)\)

詳解

設甲、乙、丙的高度變為 \(3r,\ 4r,\ 5r\)
水的總體積不變:
\(60\times 10+80\times 10+100\times 10=60\times 3r+80\times 4r+100\times 5r\)
\(\Rightarrow 2400=1000r\)
\(\Rightarrow r=2.4\)
甲的高度:\(3r=3\times 2.4=7.2\)

20.

103年會考數學第20題
通過率 0.40
答案

\((D)\)

詳解

\(\overline{BA}=\overline{BD}\Rightarrow \triangle ABD\) 為等腰三角形
\(\Rightarrow \angle ADB=\frac12(180^\circ-40^\circ)=70^\circ\)
\(\overline{CA}=\overline{CE}\Rightarrow \triangle ACE\) 為等腰三角形
\(\Rightarrow \angle AEC=\frac12(180^\circ-36^\circ)=72^\circ\)
\(\angle AEC > \angle ADB\Rightarrow \overline {AD} > \overline {AE}\)
\(\angle B > \angle C\Rightarrow \overline{AC} > \overline {AB}\)
\(\overline{BE}=\overline{BD}-\overline{DE}=\overline{AB}-\overline{DE}\)
\(\overline{CD}=\overline{CE}-\overline{DE}=\overline{AC}-\overline{DE}\)
\(\because \overline{AC} > \overline {AB}\therefore \overline{CD} > \overline {BE}\)

21.

103年會考數學第21題
通過率 0.37
答案

\((D)\)

詳解

103年會考數學第21題詳解 重心 \(G\) \(\Rightarrow \triangle AGB=\triangle BGC=\triangle CGA\)
\(\Rightarrow \overline{AB}\times \overline{GD}=\overline{BC}\times \overline{GE}=\overline{AC}\times \overline{GF}\)
\(\because \overline{GD}<\overline{GE}= \overline{GF}\)
\(\therefore \overline{AB}>\overline{BC}= \overline{AC}\)

22.

103年會考數學第22題
通過率 0.43
答案

\((C)\)

詳解

設有 \(x\)
包廂計費:\(900\times 6+99x=5400+99x\)
人數計費:\(540x+80\times(6-3)x=780x\)
\(5400+99x < 780x\)
\(\Rightarrow 5400 < 681x\)
\(\Rightarrow x > \frac{5400}{681}\approx 7.9\)
所以至少有 8 人

23.

103年會考數學第23題
通過率 0.40
答案

\((A)\)

詳解

\(a_1+a_4+a_7=3a_4=36\) (\(a_4\)\(a_1\)\(a_7\) 的等差中項)
\(\Rightarrow a_4=12\)
前九項的中項為 \(a_5\)
前九項和 \(=9a_5=54\Rightarrow a_5=6\)
公差 \(=a_5-a_4=6-12=-6\)

24.

103年會考數學第24題
通過率 0.35
答案

\((B)\)

詳解

一組對邊平行且等長,即為平行四邊形。
\((A)\) 同側內角互補,所以上邊//下邊,但不確定上邊 = 下邊。
\((B)\) 同側內角互補,所以上邊//下邊,且 \(5\) 為距離,所以四角皆 \(90^\circ\) 為平行四邊形。

25.

103年會考數學第25題
通過率 0.28
答案

\((D)\)

詳解

乙箱 40 號球為第 25顆,所以有 24 顆球小於 40,有 24 顆球大於 40。
\(a=39-24=15\)
\(b=(98-40)-24=34\)

26.

103年會考數學第26題
通過率 0.34
答案

\((D)\)

詳解

$a<0$ 開口向下
\(0 < h < 10\Rightarrow\) 頂點 \(x\) 坐標 \(h\) 在 0~10 之間
\((0,5)\), \((10,8)\) 可知頂點 \(x\) 坐標 \(h> 5\)
只有 \((D)\) 符合

27.

103年會考數學第27題
通過率 0.35
答案

\((B)\)

詳解

103年會考數學第27題詳解 作高 \(\overline{PM}\)\(\overline{AD}\)\(N\) \(\Rightarrow\)\(\overline{PM}=2\overline{AB}\)\(\triangle ABC=\) 矩形 \(ABCD\) 面積
所以只要證明 \(\overline{PM}\) 是否等於 \(2\overline{AB}\) 即可
(甲):\(\angle A=\angle N=90^\circ\)\(\angle AOB=\angle PON\) (對頂角)
\(\Rightarrow \triangle AOB \sim \triangle NOP\) (AA)
\(\overline{AO} > \overline{DO}\Rightarrow \overline{AB} > \overline{PN}\)
\(\therefore \overline{PM} < 2\overline{AB}\)
所以甲錯誤
(乙):\(\overline{AP} = \overline{AB}\) (半徑)
\(\overline{AP} > \overline{PN}\) (直角三角形斜邊最大)
\(\therefore \overline{PM} < 2\overline{AB}\)
所以乙錯誤

第二部分:非選擇題(1~2題)

1.

103年會考數學非選第1題
答案

見詳解

詳解

甲校男生有:\(60\%\times a\)
乙校男生有:\(50\%\times b\)
合併後男生應為:\(\frac{60\%a+50\%b}{a+b}\)
\(a=b\) 時: \(\frac{60\%a+50\%b}{a+b}\)
\(=\frac{60\%a+50\%a}{a+a}\)
\(=\frac{110\%a}{2a}\)
\(=55\%\)
小清的答案只在 \(a=b\) 的時候成立,當 \(a\neq b\) 時不成立。

2.

103年會考數學非選第2題
答案

見詳解

詳解

已知 \(\angle BCE=\angle ACD\Rightarrow \angle3+\angle4=\angle4+\angle5 \Rightarrow \angle3=\angle5\)
已知 \(\angle BAE=\angle ACD=90^\circ\Rightarrow \angle1+\angle2=\angle2+\angle D=90^\circ \Rightarrow \angle1=\angle D\)
\(\overline{BC}=\overline{CE}\) (已知)
\(\therefore \triangle ABC \cong \triangle DEC\) (AAS)

年度解析+等級對照表

103 年會考數學解析:決勝「高壓區間」與「邏輯論證」

103 年會考數學試題展現了強大的鑑別度,整體難度位居近年高位。

  • 全卷高壓分布:全卷有多達 12 題通過率低於 0.5。這意味著將近一半的試題對考生而言具備相當難度,鑑別度不再侷限於壓軸題,而是散布在整份試卷中。

  • 非選題的轉型挑戰:本年度兩題非選擇題皆屬於「論證說明題」。考生不再只需列式計算,更需具備將直覺轉化為嚴謹文字敘述的能力,對「數學溝通素養」提出了最高要求。

NUMA 策略提醒: 面對這類高難度年度,勝負關鍵在於能否在選擇題的高壓下保持體力,並在非選題中寫出邏輯清晰的推導過程。

等級加標示與答對題數對照表

103等級加標示與答對題數對照表

各科等級加標示人數百分比統計表

103各科等級加標示人數百分比統計表